研究人员合成出性能优异的三元过渡金属硼化物MoAlB
2016-06-08 12:01:35
作者:本网整理 来源:材料牛
二元过渡金属硼化物是常用的耐火材料,同时它还具有高硬度以及良好的力学、电、热等性能,被广泛应用于耐磨涂层、化学催化剂以及高温结构件中。但是,昂贵的加工成本以及较差的抗氧化性能这两个短板限制了其进一步的应用。
事实上,上述多种性能在大多数三元过渡金属硼化物中也可以体现。其中一种典型的三元过渡金属硼化物MAlB(M是一种过渡金属),它包含过渡金属硼化物的亚点阵,与单层或者双层的纯铝一起构成纳米层状结构。目前关于MAlB的研究主要集中于它的单晶生长和晶体结构方面,合成及性能方面的研究还不够充分。
近日,来自美国德雷赛尔大学的研究人员利用反应热压方法合成出三元过渡金属硼化物MoAlB,并对其结构及多方面性能进行表征,发现其在高温环境下具有重要的潜在应用价值。
文献图注

图1 (a): 热压样品理论计算、横截面以及上表面的XRD图谱;(b): 热压样品横截面XRD图谱的结构精修,红色是测试图谱,黑色是计算图谱,橙色是两者强度的差值。

图2 (a): MoAlB沿[100]轴的高分辨HRSTEM照片,插图分别表示Mo/Al/B原子的位置以及沿[100]轴的选区电子衍射花样;(b): MoAlB在(100)面视角下的晶体结构。

图3 (a): 热压横截面样品的背散射SEM照片;(b): 断裂表面的低倍二次电子SEM照片;(c): 断裂表面的高倍二次电子SEM照片,可以看到条带状花样以及层状晶粒结构。

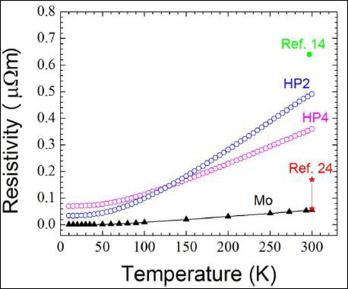
图4 热压样品电阻率与温度的关系曲线,同时与MoAlB单晶及纯Mo的数据进行对比。

图5 (a): 热压MoAlB样品热导率与温度的关系曲线,同时与纯Mo的数据进行对比;(b): 归一化热膨胀系数与温度的关系曲线,利用膨胀测定法在氩气氛围中进行实验,图中给出了前两周的情况。

图6 维氏显微硬度与压入载荷的关系曲线,插图表示9.8N载荷下形成的凹痕,同时与单晶的硬度值数据进行对比。

图7 (a): 氧化层厚度与时间的关系曲线,用恒温氧化方法进行测试,红色表示1300度的情况,蓝色表示1100度的情况,实曲线为三次方关系,虚曲线为幂函数关系,插图表示1300度200小时后MoAlB和氧化层的界面情况;(b): 1300度200小时后及1400度10小时后的XRD图谱。
免责声明:本网站所转载的文字、图片与视频资料版权归原创作者所有,如果涉及侵权,请第一时间联系本网删除。